6. 二叉树1
5. 最长回文串
0417,mid
考点:动态规划、分类讨论
解法一:动态规划
分析:
- 动态规划的 dp:
dp[i][j]表示i~j是一个回文串,此时赋值为 true:dp[i][j] = true;
判断当前 dp[i][j] 是否为一个回文串时,分析:
s[i]和s[j]是否相等,如果相等,则:- 子串
dp[i+1][j-1]是回文串,它就是回文串; - 反之,子串不是回文串,它就不是回文串
- 子串
- 如果不相等,就一定不是回文串。
找到转换方程:
if (s[i] === s[j]) {
dp[i][j] = dp[i-1][j+1];
range = [x-1, y+1];
} else {
dp[i-1][j+1] = false;
}
找到问题边界:
// 子串长度为1,肯定是一个回文串
for (let i = 0; i < len ; i++) {
dp[i][i] = true;
}
// 字串长度为2,如果两个元素相等,也是一个回文串
for (let i = 0; i < len - 1 ; i++) {
if (s[i] === [i+1])
dp[i][i+1] = true;
}
求解:
var longestPalindrome = function (s) {
// 特例
if (!s || s.length === 0) return;
const len = s.length;
let range = [0, 0]
// 初始化二维数组
// dp[i][j] 表示s[i...j] 是否是回文串
const dp = new Array(len)
for (let i = 0; i < len; i++) {
dp[i] = [];
}
// 处理边界:
for (let i = 0; i < len; i++) {
//n=1时,都是回文串
dp[i][i] = true;
if (i < len - 1 && s[i] === s[i + 1]) {
// n=2时,两个元素相等也是回文串:'bb'
dp[i][i + 1] = true;
range = [i, i + 1]
}
}
// n 为判断回文串的长度,从3开始
for (let n = 3; n <= len; n++) {
// 左下标
for (let i = 0; i <= len - n; i++) {
// 右下标
let j = i + n - 1;
if (dp[i + 1][j - 1]) {
// 如果上一个是回文串,则判断当前下标是不是回文串
if (s[i] === s[j]) {
dp[i][j] = true;
range = [i, j];
}
}
}
}
return s.slice(range[0], range[1] + 1)
};
解法二:分类讨论
- 中心扩展算法
把每一个节点当成中心(中心是一个回文串)然后左右扩展,寻找以当前中心为基的最长回文串。
var longestPalindrome = function (s) {
// 特殊情况
if (!s || s.length === 0) return;
const len = s.length;
// range[0]和range[1]代表最长回文串的起始和终点坐标
let range = [0, 0]
// 遍历每一个数,把这个数当成回文串的中心,向左右方向扩展。
for (let i = 0; i < len; i++) {
estimate(i);
}
return s.slice(range[0], range[1] + 1);
// 回文有两种:中心点是一个的单数(aba),中心点是两个以上的双数(abba、abbba)
// 把回文串统一看成:中间部分+左右不分。中间部分全部是同一字符,左右部分对称相等
function estimate(x) {
let y = x;
// 处理回文中间部分:连续相同字符
while (y + 1 < len && s[y] === s[y + 1]) {
y++
}
// 处理回文的左右两边:找到最长回文串
while ( x - 1 >= 0 && y < len && s[x-1] === s[y+1]) {
x--;
y++;
}
// 判断当前找到的回文串和之前保存的回文串哪一个更长
if (range[1] - range[0] < y - x) {
range = [x, y];
}
}
};
犯错:
dp[i][j] = true写成了dp[i][j] === true,这个问题还看了很久没找到。
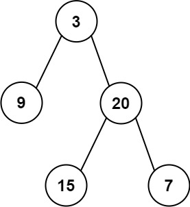
105. 从前序与中序遍历序列构造二叉树
0419、mid
动态规划,二叉树构造
1. 找特点

preorder = [3,9,20,15,7],
inorder = [9,3,15,20,7]
前序遍历的特点:根、左、右。preorder[0] 就是根节点
中序遍历的特点:左、根、右。找到根节点后,左边的是左子树,右边的是右子树:
// 中序列表中,根的下标:
const index = inorder.indexOf(preorder[0]);
// 从中序列表中,找到左子树长度,右子树长度:
const leftLen = index
const rightLen = inorder.length - leftLen - 1;
2. 找思路
这样,可以根据下标切分出:
- 前序列表:
[根、左子树、右子树]; - 中序列表:
[左子树、根、右子树];
创建一个新节点,其值为当前找到的 根节点,左子树 和 右子树 递归等待答案;
然后递归,把 前序列表 和 中序列表 中的 左子树 提取出来,进一步拆分找到 根、左、右;右子树同样操作。
这样,直到切分为长度为 3 的最小子树:
- 前序列表:
[根、左、右]; - 中序列表:
[左、根、右];
开始逐层返回,得到一整个树。
假定:
- 先序遍历:[3,_, _, _, _, _];
- 中序遍历:[0, 1, 2, 3, 4, 5];
那么我们就可以确定:根、左子树、右子树了:
- 先序遍历:['根', 左, 左, 左 , 右, 右]
- 中序遍历:[ 左 , 左, 左,'根', 右, 右]
然后求出:根的下标、左子树的长度
最后可以确定左子树、右子树的头尾两个下标了(见下文)
3. 抽象
假定:
- 前序列表的左子树,下标为:
[preL, preR] - 中序列表的左子树,下标为:
[inL, inR]
// 根的值:
const rootValue = preorder[preL];
// 中序列表中,根坐标:
const index = inorder.indexOf(root);
// 由此找到左子树的长度
const subLen = index - inL;
// 前序列中的左子树、右子树
const preLeftTree = [preL + 1, preL + subLen];
const preRightTree = [preL + subLen + 1, preR];
// 中序列中的左子树、右子树
const inLeftTree = [inL, index - 1];
const inRightTree = [index + 1, inR];
4. 边界
每次递归,都是先确定一个根结点,然后以这个根结点为子树的基,构造左子树和右子树。
- 左右子树全部确定完成后,再返回这个 子树本身。
考虑:
- 面对某一个子序列,我们会先找根结点,再通过根结点下表找左子树和右子树的结点。
当某个子序列拆分的足够小:
- 长度为 3 和 3 以上时,一定有根结点,左子树和右子树 可能 有一个子树不存在;
- 长度为 2 时,一定有根结点,左子树和右子树 必定 有一个子树不存在;
- 长度为 1 时,一定有根结点,左子树和右子树 全部不存在;
综上,长度为 1 以上时,肯定有根结点,所以一定能创建一个子节点,不是问题的边界。
- 长度为 0 时,根结点、左子树、右子树都不存在,这个节点也不存在了。
找到了边界,当这个节点不存在,则遍历到了分支的边界,不会再返回新的结点了。
所以,边界就是当子序列的 左下标 > 右下标时,证明这个序列已经不存在了,返回 null
if (preL > preR) {
return null;
}
5. 求解
var buildTree = function(preorder, inorder) {
const len = preorder.length
// 开始递归
return build(0, len-1, 0, len-1);
function build(preL, preR, inL, inR) {
// 边界,递归的 return
if (preL > preR) {
return null;
}
// 新建根结点
const root = new TreeNode();
root.val = preorder[preL];
// 找根结点在中序列中的下标
const index = inorder.indexOf(root.val);
// 找到左子树的长度
const subLen = index - inL;
// 递归:左子树、右子树
root.left = build(preL+1, preL+subLen, inL, index-1);
root.right = build(preL+subLen+1, preR, index+1, inR);
return root;
}
};
106. 从中序与后序遍历序列构造二叉树
0420,mid
动态规划,二叉树构造
思路同 105。
var buildTree = function(inorder, postorder) {
// 特例
if (!inorder || !postorder || inorder.length === 0 || postorder.length === 0) return null;
const len = inorder.length;
return build(0, len-1, 0, len-1);
function build(inL, inR, poL, poR) {
// 边界
if (inL > inR) {
return null;
}
// 结点
const root = new TreeNode();
root.val = postorder[poR];
// 下标
const index = inorder.indexOf(root.val);
const length = index - inL;
// 递归左子树、右子树
root.left = build(inL, index-1, poL, poL+length-1);
root.right = build(index+1, inR, poL+length, poR-1);
return root;
}
};
- 相关题目:0511|449. 序列化和反序列化二叉搜索树
107. 二叉树的层序遍历 II
- 107. 二叉树的层序遍历 II
- 0420, mid
- 二叉树构造
题解:
- 主要是对
curRes放入res时的改动,只需要从之前的队头push,改为队尾的unshift就可以了。
var levelOrderBottom = function (root) {
if (!root) return [];
const res = [];
const quene = [];
quene.push(root);
while (quene.length) {
// 记录层级信息
const len = quene.length;
const curRes = [];
for (let i = 0; i < len; i++) {
const node = quene.shift();
curRes.push(node.val);
node.left && quene.push(node.left);
node.right && quene.push(node.right);
}
res.unshift(curRes);
}
return res;
};
102. 二叉树的层序遍历
- 102. 二叉树的层序遍历
- 0421, mid,quick
- 层序遍历基本功
var levelOrder = function(root) {
// 特值
if (!root) return [];
// 队列
// unshift, [push]
// [shift], pop
const quene = [];
const res = [];
// 先放入一根结点,然后while循环
quene.push(root);
while (quene.length){
// 记录每层的长度、结果
const levelLength = quene.length;
const levelRes = [];
// for遍历该行
for (let i = 0; i < levelLength; i++){
const node = quene.shift();
levelRes.push(node.val);
//❗️千万记得要判断存在,然后再push
node.left && quene.push(node.left);
node.right && quene.push(node.right);
}
res.push(levelRes);
}
return res;
};
103. 二叉树的锯齿形层序遍历
- 103. 二叉树的锯齿形层序遍历
- 0421,mid,answer
- 解析:https://leetcode-cn.com/problems/binary-tree-zigzag-level-order-traversal/solution/er-cha-shu-de-ju-chi-xing-ceng-xu-bian-l-qsun/
- 根据图表自己画一下就记忆深刻。
var zigzagLevelOrder = function (root) {
// 特
if (!root) return [];
const res = []
const quene = [];
// true is ==>
let flag = false;
// shift, push
quene.push(root);
while (quene.length) {
const levelLen = quene.length;
const levelRes = []
for (let i = 0; i < levelLen; i++) {
const node = quene.shift();
// 在每层推入数时,需要根据flag进行正向/反向推入
flag ? levelRes.unshift(node.val) : levelRes.push(node.val);
node.left && quene.push(node.left);
node.right && quene.push(node.right);
}
flag = !flag;
res.push(levelRes);
}
return res
};
199. 二叉树的右视图
- 199. 二叉树的右视图
- 0422,mid,quick
- 基本题,广度优先(层序遍历),深度优先(❓❓遍历)
解题一:广度优先
基于层序遍历,只需要在 level 每层返回该层遍历出的所有值的时候,只返回遍历到的最后一个值即可。
var rightSideView = function (root) {
// 先层序,
// 后只提取每层最右边的节点
// 特
if (!root) return [];
// shift<=======< push
const res = [];
const quene = [root];
while (quene.length) {
const levelLen = quene.length;
const levelRes = []
for (let i = 0; i < levelLen; i++) {
const node = quene.shift();
levelRes.push(node.val);
node.left && quene.push(node.left);
node.right && quene.push(node.right);
}
// ❗️只返回该层的最后一个值。
res.push(levelRes[levelRes.length - 1])
}
return res
};
更妙的解法:
不需要在 for 循环遍历每层结点的时候,用 levelRes 保存全部的结点值:
- 我们要的是 level 这一层中,最后一个节点的值。
- levelLen 记录了该层的全部节点数
- 我可以在每遍历该层一个节点的时候,就让 levelLen 减1,当 levelLen 减少到 1 的时候,说明已经便利到最后一个节点了,然后记录这个节点的值即可。
// 仅贴出 while 内的代码
while (quene.length) {
let levelLen = quene.length;
while (levelLen) {
const node = quene.shift();
if (levelLen === 1) res.push(node.val);
node.left && quene.push(node.left);
node.right && quene.push(node.right);
levelLen--;
}
}
// 这样也可以,只需要判断 'i === levelLen - 1' 即可
while (quene.length) {
const levelLen = quene.length;
for (let i = 0; i < levelLen; i++) {
const node = quene.shift();
if (i === levelLen - 1) res.push(node.val)
node.left && quene.push(node.left);
node.right && quene.push(node.right);
}
}
解法二:深度优先
技巧:
- 深度优先,顺序是:根、右、左。
- 因为每一层只要一个数,所以用结果数组
res.length来表示当前已经遍历过的深度,假如res.length值为 2,表示头两层已经遍历过,拿到了最右侧的值,所以接下来如果有对第二层的其他节点进行遍历,就跳过。 - 用
step记录每次dfs时的深度。
var rightSideView = function (root) {
// dfs
if (!root) return [];
const res = [];
dfs(root, 0);
// params: 当前结点、结点所在层数
function dfs(node, level) {
// 边界
if(!node) return;
// 层数相同就push
if (level === res.length) {
res.push(node.val);
}
// 递归
dfs(node.right, level + 1);
dfs(node.left, level + 1);
}
return res;
};
637. 二叉树的层平均值
- 637. 二叉树的层平均值
- 0423, easy, quick
- 广度优先
求平均值用到了 reduce 要熟悉 reduce 的语法:
prev是上一次 callback 的返回值。- 最终返回
prev
// 有 initialValue
// 从 0 开始遍历,多循环一次。
// 循环第一次 preV 的值是 initV;
// curV 的值是 Array[0],
// item 的值是 0
Array.reduce((preV, curV, item) => {
return preV + curV
}, initV);
// 没有 initialValue
// 从 1开始遍历,
// 循环第一次 preV 的值是 Array[0];
// curV 的值是 Array[1];
// item 的值是 1;
解法一:广度优先
var averageOfLevels = function (root) {
// 层序遍历
if (!root) return [];
const quene = [root];
const res = [];
while(quene.length) {
const levelVal = [];
const levelLen = quene.length;
for (let i = 0; i < levelLen; i++) {
// shift <=========< push
const node = quene.shift();
levelVal.push(node.val);
node.left && quene.push(node.left);
node.right && quene.push(node.right);
}
// 求平均值
const total = levelVal.reduce((acc, cur) => acc + cur, 0);
const average = levelVal.length;
res.push(total/average);
}
return res;
};
- 时间复杂度:每个数组遍历一边,O(n)
- 空间复杂度:
- quene、res: O(1);
- levelVal、levelLen:O(n);
- 总体空间复杂度依赖于树的深度,为 O(n);
解法二:深度优先
- 我的思路是实现了一个用 「深度优先」,遍历出一个 「广度优先」;
- levelVal 是一个二位数组,其成员是一个带层级的广度优先序列结果。
- 如一个数是:[3, 9, 20, 15, 7],
levelVal值是[[3], [9, 20], [15, 7]]
- 如一个数是:[3, 9, 20, 15, 7],
// DFS
var averageOfLevels = function (root) {
if (!root) return [];
const res = [];
// 二位数组:<node.val[]>[],该数组的成员是每一层的结点值。
// 也就是一个广度优先遍历出的结果
const levelVal = [];
dfs(root, 0)
function dfs(node, level) {
// 边界
if (!node) return;
// 数组长度 > 层数,已经定义过该层,可以直接push;反之没定义过,先定义再push
// 最开始是第0层,levelVal.length = 1;
levelVal.length > level ? levelVal[level].push(node.val) : levelVal.push([node.val]);
dfs(node.left, level + 1);
dfs(node.right, level + 1);
}
// 求每层的平均值
levelVal.forEach(item => {
const average = item.reduce((acc, cur) => acc + cur, 0) / item.length;
res.push(average);
})
return res;
};
- 事实上没必要记录每一层的所有结点值,而只需要对值进行累加即可,这样之维护两个一维数组:
levelTotal: 每层结点的值的总数totallevelCount:每层结点的个数count
var averageOfLevels = function (root) {
// DFS
if (!root) return [];
const res = [];
const levelTotal = [];
const levelCount = [];
dfs(root, 0)
function dfs(node, level) {
// 边界
if (!node) return;
// 最开始是第0层,levelTotal.length = 1;
// 第i层时,levelTotla.length = i+1
levelTotal[level] ? levelTotal[level] += node.val : levelTotal[level] = node.val;
levelCount[level] ? levelCount[level] += 1 : levelCount[level] = 1;
dfs(node.left, level + 1);
dfs(node.right, level + 1);
}
// 求每层的平均值
levelTotal.forEach((item, index) => {
res.push(item / levelCount[index]);
})
return res;
};
- 时间复杂度:所有节点只遍历一边,O(n)。
- 空间复杂度:只维护 3 个数组, O(1)。
429. N 叉树的层序遍历
0423, mid, quick
层序遍历
var levelOrder = function(root) {
// bfs
if (!root) return [];
const quene = [root];
const res = [];
while(quene.length) {
const levelLen = quene.length;
const levelRes = [];
for (let i = 0; i < levelLen; i++) {
// shift <=====< push
const node = quene.shift();
levelRes.push(node.val);
// 遍历n叉子节点
if (node.children) {
node.children.forEach( item => {
quene.push(item);
})
}
}
res.push(levelRes);
}
return res;
};
515. 在每个树行中找最大值
0423,mid,quick
和 637 找平均数一样,bfs、dfs 都可以实现
BFS
var largestValues = function (root) {
// bfs
if (!root) return [];
const quene = [root];
const res = [];
while (quene.length) {
let levelRes = -Infinity;
const levelLen = quene.length;
for (let i = 0; i < levelLen; i++) {
const node = quene.shift();
levelRes = Math.max(levelRes, node.val);
node.left && quene.push(node.left);
node.right && quene.push(node.right);
}
res.push(levelRes);
}
return res;
};
DFS
注意两点:
- res 保存了每层的最大值;
- 在初始化判断
res[level]是否存在时,不能用res[level]判断,必须用res[level] !== undefined,因为当res[level]的值为 0 时,也会判断为 不存在, 返回 false;
var largestValues = function (root) {
// dfs
if (!root) return [];
const res = [];
dfs(root, 0);
// 当前节点,深度
function dfs(node, level) {
// 边界
if (!node) return;
// 第 1 层时,level = 0, res.length = 1;
// 第 n 层时,level = n-1, res.length = n;
// 初始化
if (res[level] !== undefined) {
res[level] = Math.max(res[level], node.val);
} else {
res[level] = node.val
}
// 或者这样:
// res[level] = res[level] === undefined ? node.val : Math.max(res[level], node.val);
dfs(node.left, level + 1);
dfs(node.right, level + 1);
}
return res;
};
116. 填充每个节点的下一个右侧节点指针
- 116. 填充每个节点的下一个右侧节点指针
- 0423,mid,quick answer
- 广度优先遍历
问题:
- 这道题刚开始干扰我的是返回值,其不是一个数组,而是直接返回 整个树,即 根结点 root。
- 注意在最终 return,和刚开始的特殊值 return,都是返回 root。
var connect = function (root) {
if (!root) return root; // 注意这里是return rook,不是 return []
// bfs
const quene = [root];
while (quene.length) {
const levelLen = quene.length;
// 记录上一个节点
let lastNode = null;
for (let i = 0; i < levelLen; i++) {
const node = quene.shift();
// 如果上一个节点不存在(说明是每层开头第一个),则不执行 next 赋值
if (lastNode) {
lastNode.next = node;
}
lastNode = node;
// 递归
node.left && quene.push(node.left);
node.right && quene.push(node.right);
}
// 对最后一个结点.next赋值为null
lastNode.next = null;
}
return root;
};
117. 填充每个节点的下一个右侧节点指针 II
- 117. 填充每个节点的下一个右侧节点指针 II
- 0424,mid,quick
- BFS
- 同上一道题 116 完全一样,只是写的更精炼了:
// BFS
var connect = function(root) {
if (!root) return root;
const quene = [root];
while (quene.length) {
const len = quene.length;
let lastNode = null;
for (let i = 0; i < len; i++) {
const node = quene.shift();
if (i !== 0) lastNode.next = node;
node.left && quene.push(node.left);
node.right && quene.push(node.right);
lastNode = node;
}
lastNode.next = null;
}
return root;
};
优化:内存优化
- 用三个指针省去队列的维护
核心:
- 第i层:已经通过
.next建立联系,形成一个链表; - 第i+1层:通过
.left和.right与上层链表建立联系,利用上层链表,把i+1层也通过.next关联起来。
变量:
start:第i层链表的开始结点;nextStart:下一个链表的开始结点(也就是第i+1层的第一个结点);lastNode:执行遍历时,第i+1层子节点的上一个结点
注意点:
- 每一个变量都有生命周期:定义、每次循环的初始化、每次循环结束的重置。
var connect = function(root) {
if (!root) return root;
// 变量:第i层链表的开始结点;下一个链表的开始结点(也就是第i+1层的第一个结点);执行遍历时,第i+1层子节点的上一个结点
// 根结点是第一个链表
let start = root;
let nextStart = null;
let lastNode = null;
while(start !== null) {
// 遍历第i层链表
for (let node = start; node !== null; node = node.next) {
// 把子节点(i+1层)都关联起来
node.left && connectNextPoint(node.left);
node.right && connectNextPoint(node.right);
}
// 重置变量:确定下一轮链表的开头
start = nextStart;
nextStart = null;
lastNode = null;
}
function connectNextPoint(node){
// 绑定nextStart
if(nextStart === null) nextStart = node;
// 与lastNode链接
if(lastNode !== null) lastNode.next = node;
lastNode = node;
}
return root;
};
104. 二叉树的最大深度
- 104. 二叉树的最大深度
- 0424,easy,answer
方法一:深度优先
- 自己构造复杂了,直接递归
maxDepth自身就可以。因为maxDepth的返回值既是我们要定义的递归函数的值,又是最终的返回值。所以就把maxDepth直接改造成递归函数就可以。不需要再maxDepth中单独定义一个递归函数。
var maxDepth = function (root) {
if (!root) return root;
// 递归:获得左子树最大深度
const leftLevel = maxDepth(root.left);
// 递归:获得右子树最大深度
const rightLevel = maxDepth(root.right);
// 返回:本结点最大深度 = 子树最大深度 + 1
return Math.max(leftLevel, rightLevel) + 1;
};
自己最初的方法:
- 在
maxDepth又定义了一个dfs。
var maxDepth = function (root) {
// dfs
if (!root) return root;
let maxLevel = 1;
dfs(root, maxLevel);
return maxLevel;
function dfs(node, level) {
if (node === null) return null;
maxLevel = Math.max(maxLevel, level);
dfs(node.left, level + 1);
dfs(node.right, level + 1);
}
};
方法二:广度优先
用 deep 表示遍历的层数,bfs 的特点是:
- 每当
while循环一次,则遍历层数加深一次; - 每当
for循环一次,则便利同一层的一个节点;
var maxDepth = function (root) {
if (!root) return root;
const quene = [root];
let deep = 0;
while(quene.length) {
const levelLen = quene.length;
deep += 1;
for (let i = 0; i < levelLen; i++) {
const node = quene.shift();
node.left && quene.push(node.left);
node.right && quene.push(node.right);
}
}
return deep;
};
111. 二叉树的最小深度
- 111. 二叉树的最小深度
- 0424,easy,quick
方法一:广度优先 bfs
牢记:
while循环是层级的,每一次while循环都是对一层的访问;for循环是结点级的,每一次for循环是对一个节点的访问;
本题要找最小深度:“深度” 就是 tree 中,从 根结点 到任意一个 叶子结点 的层级数。最小深度就是这些深度中最小的一个。
所以:
- 在
while记录 “深度” 数据; - 在
for检测是否访问到叶子结点,一旦访问到(没有左右子树),就找到了最小深度。
var minDepth = function(root) {
// bfs
if (!root) return root;
const quene = [root];
let level = 0;
while(quene.length) {
const levelLen = quene.length;
level += 1;
for (let i = 0; i < levelLen; i++) {
const node = quene.shift();
if (!node.left && !node.right) return level;
node.left && quene.push(node.left);
node.right && quene.push(node.right);
}
}
};
方法二:深度优先 dfs
需要注意几点:
如果当前结点是叶子结点,则访问到了一个深度,返回层级 1;
如果当前节点不是一个叶子结点:
一个子树存在,另一个子树不存在(为 null)。则该层节点的层数,只能取存在的子树的那个值。
联想
root = [2,null,3,null,4,null,5,null,6]的情况。所以,把子树不存在的深度值去值为无穷大,最终返回的就是另一个存在深度的子树值了。
两个子树都存在,则返回这两个子树深度值的更小的那一个。
var minDepth = function (root) {
// 当前节点不存在,返回 null
if (!root) return null;
// 叶子结点
if (!root.left && !root.right) return 1;
const leftDepth = minDepth(root.left) ?? Infinity;
const rightDepth = minDepth(root.right) ?? Infinity;
return Math.min(leftDepth, rightDepth) + 1;
};
226. 翻转二叉树
- 226. 翻转二叉树
- 0424,easy,quick
- 考点:递归+迭代两种方法都要会。
深度优先递归的思考方式,是从叶子结点开始翻转,逐层最后根结点进行翻转;
广度优先迭代的思考方式,是从根结点开始翻转,逐层最后叶子结点进行翻转;
总结:
- 深度优先、递归,做题的思考方式是自下而上的;
- 广度优先,迭代,做题的思考方式是自上而下的;
方法一:dfs 递归
每个结点都有两个动作:
左、右子树交换位置;
左、右子树各自反转其子树;
返回该节点。
注意递归边界,当遍历到叶子,则返回 null;
var invertTree = function (root) {
if(!root) return null;
const tempNode = root.left;
root.left = invertTree(root.right);
root.right = invertTree(tempNode);
return root;
};
方法二:bfs 迭代
如果没有 for,只有 while。则每一次 while 循环都是一个结点。
var invertTree = function (root) {
// bfs
if(!root) return root;
const quene = [root];
while (quene.length) {
const node = quene.shift();
// exchange
[node.left, node.right] = [node.right, node.left];
node.left && quene.push(node.left);
node.right && quene.push(node.right);
}
return root
};
144. 二叉树的前序遍历
- 144. 二叉树的前序遍历
- 0425,easy,quick
- 三种方法:递归、迭代、通用迭代
方法一:递归
var preorderTraversal = function(root) {
if (!root) return [];
const res = [];
dfs(root)
return res;
function dfs(node){
if (!node) return null;
// 根、左、右
res.push(node.val);
dfs(node.left)
dfs(node.right)
return null
}
};
方法二:迭代
栈结构直接解决
var preorderTraversal = function(root) {
if (!root) return [];
const stack = [root];
const res = [];
while (stack.length) {
// 中
const node = stack.pop();
res.push(node.val);
// 右
node.right && stack.push(node.right);
// 左
node.left && stack.push(node.left);
}
return res;
};
方法三:通用迭代
对结点的遍历分为:
- 访问:左子树、本节点 +
null、右子树; - 读取:在
null后的结点,读取其值;
每次访问到一个结点,按照遍历顺序对 左子树、结点本身(值)、右子树进行访问(stack.push)。
- 但注意的是,访问值的时候,再额外
push一个null标明下次要读取其值。
var preorderTraversal = function (root) {
if (!root) return [];
const stack = [root];
const res = [];
stack.push();
while (stack.length) {
// 每次循环拿出栈中的一个结点
const point = stack.pop();
if (point === null) {
// 如果是 null,则要读取栈中下一个结点
res.push(stack.pop().val);
} else {
// 如果不是 null,则访问这个节点:left/right/val,依次 push;
point.right && stack.push(point.right); // 右
point.left && stack.push(point.left); // 左
stack.push(point); // 根
stack.push(null); // 根的尾巴
}
}
return res
}
145. 二叉树的后序遍历
- 145. 二叉树的后序遍历
- 0425, easy, quick
- 三种方法:递归、迭代、统一迭代
方法一:递归
var postorderTraversal = function(root) {
const res = []
if (!root) return res;
dfs(root);
function dfs(node){
node.left && dfs(node.left); // 左
node.right && dfs(node.right); // 右
res.push(node.val); // 根
}
return res;
};
方法二:迭代
var postorderTraversal = function(root) {
const res = [];
if (!root) return res;
const stack = [root];
while(stack.length) {
const node = stack.pop();
res.push(node.val); // 根
node.left && stack.push(node.left); // 左
node.right && stack.push(node.right); // 右
}
// 翻转结果
return res.reverse();
};
方式三:统一迭代
var postorderTraversal = function (root) {
if (!root) return [];
const res = [];
const stack = [root];
while (stack.length) {
const point = stack.pop();
if (point === null) {
res.push(stack.pop().val);
} else {
// 根(null)、右、左
stack.push(point);
stack.push(null);
point.right && stack.push(point.right);
point.left && stack.push(point.left);
}
}
return res;
};
94. 二叉树的中序遍历
- 94. 二叉树的中序遍历
- 0425,easy,answer
- 常规迭代的解法二不好理解,要多看看
- 参考:二叉树的统一迭代法.md


方法一:递归
略,见 144. / 145. 题。
方法二:迭代
用 point 指向要取值的结点,栈结构来维护要遍历 左子树 结点;
- 一直往栈中压入左子树,一旦遇到叶子结点,则证明该分支已经到头;
- 判断是否为叶子结点的依据:当 point 指向了 null,则说明遍历已经到头了。
- 此时读取叶子结点的值,然后往栈中压入右子树;
var inorderTraversal = function (root) {
if (!root) return [];
const res = [];
const stack = []; // stack 不预先放入root,stack未来只会放入.left的结点
let point = root;
while (stack.length || point) {
if (point !== null) {
// 遍历左子树
stack.push(point); // 这里push(point),不是push(cur.point)
point = point.left;
} else {
point = stack.pop()
res.push(point.val);
point = point.right
}
}
return res;
};
方法三:统一迭代
var inorderTraversal = function (root) {
if (!root) return [];
const res = [];
const stack = [root];
while (stack.length) {
const point = stack.pop();
// 取值
if (point === null) {
res.push(stack.pop().val);
continue;
}
// 访问
point.right && stack.push(point.right);
stack.push(point);
stack.push(null);
point.left && stack.push(point.left);
}
return res;
};
101. 对称二叉树
- 101. 对称二叉树
- 0425,easy,answer
- 对称二叉树 ---> 平衡二叉树
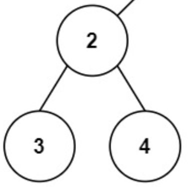
对称二叉树的最小判断结点,不是一个结点树为 3 的最小树:

而是一个结点数为 7 的树:

只有判断第三层 [3, 4, 4, 3] 对称,才可以决定该结点是否对称。
边界问题:
以 root 为判断的根,需要满足以下几点才可以决定平衡:
- 存在。root 的左右子节点存在性,
root.left,root.right(对应图中的2);- root 的左右子节点都不存在,则该 root 为叶子结点,平衡;
- root 的左右子节点有一个不存在,另一个存在,不平衡;
- 两个值相等。root 的左右子节点的值
root.left.val,root.right.val(对应图中的2);- 值相等,则平衡;不相等,则不平衡;
- 四个子树平衡。root 的左右子节点的子树:
root.left.left、root.left.right、root.right.left、root.right.right;inSide内侧递归判断是否平衡;outSide外侧递归判断是否平衡;
方法一:递归
var isSymmetric = function (root) {
if (!root) return false;
// 递归 dfs
// 判断是否平衡
return compare(root.left, root.right);
function compare(leftNode, rightNode) {
// 边界问题
// 叶子结点,到头了,没有子节点,所以返回 true
if (leftNode === null && rightNode === null) return true;
// 有一边空,另一边不空,肯定不平衡
if ((leftNode === null && rightNode !== null) || (leftNode !== null && rightNode === null)) return false;
// 判断这两个结点是否平衡;
if (leftNode.val !== rightNode.val) return false;
// 递归:判断子树是否平衡:
// 内侧:左结点的右子树、右结点的左子树
// 外侧:左结点的左子树、右结点的右子树
const inSide = compare(leftNode.right, rightNode.left);
const outSide = compare(leftNode.left, rightNode.right);
return inSide && outSide;
}
};
方法二:栈迭代
- 因为递归就是利用了函数的调用栈,所以我们自己维护一个 “调用栈”,就把递归改造成了迭代。
- 都是一次拿出来两个,然后比较是否对称,所以队列和栈的效果是完全一样的。
- 注意:队列是先进先出,栈是后进先出。
- 所以一次取两个结点的时候 (
left,right),顺序会不一样 (注释),其他逻辑完全相同。
- 所以一次取两个结点的时候 (
- 注意:队列是先进先出,栈是后进先出。
var isSymmetric = function (root) {
if (!root) return false;
const stack = [];
stack.push(root.right);
stack.push(root.left);
while (stack.length) {
// ⚠️ 注意和队列对比取出的顺序
const rightNode = stack.pop();
const leftNode = stack.pop();
// 存在
if (leftNode === null && rightNode === null) continue;
if ((leftNode === null && rightNode !== null) ||
(leftNode !== null && rightNode === null)) return false;
// 两个值相等
if (leftNode.val !== rightNode.val) return false;
// “递归” 四个子树平衡
stack.push(leftNode.right, rightNode.left);
stack.push(leftNode.left, rightNode.right);
}
return true;
};
方法三:队列迭代
var isSymmetric = function (root) {
if (!root) return false;
const quene = [];
quene.push(root.left);
quene.push(root.right);
while (quene.length) {
// ⚠️ 注意和栈对比取出的顺序
const left = quene.shift();
const right = quene.shift();
// 存在
if (left === null && right === null) continue;
if (left !== null && right === null || left === null && right !== null) return false;
// 两个值相等
if (left.val !== right.val) return false;
// 四个子树平衡
quene.push(left.left, right.right);
quene.push(left.right, right.left);
}
return true;
};
559. N 叉树的最大深度
- 559. N 叉树的最大深度
- 0425,easy,quick
- 思路见:104. 二叉树的最大深度
方法一:bfs 迭代
var maxDepth = function(root) {
if (!root) return root;
const quene = [root];
let depth = 0;
while (quene.length) {
const levelLen = quene.length;
for (let i = 0; i < levelLen; i++) {
const node = quene.shift();
// 循环遍历n叉树
if (node.children) {
node.children.forEach(item => {
quene.push(item);
})
}
}
depth += 1;
}
return depth;
};
方法二:dfs 递归
var maxDepth = function (root) {
// dfs
if (!root) return root;
let maxDepth = 0;
dfs(root, 1);
function dfs(node, level) {
maxDepth = Math.max(maxDepth, level);
if (node.children) {
node.children.forEach(item => dfs(item, level + 1));
}
}
return maxDepth;
};
// 精简代码:
// 直接把 maxDepth 作为递归函数。每调用一次,depth+1
var maxDepth = function (root) {
if (!root) return root;
let depth = 0;
if (root.children) {
root.children.forEach(item => depth = Math.max(depth, maxDepth(item)));
}
return depth + 1;
};
方法三:dfs 迭代
- 递归转化为迭代,就是把对应的函数函数调用栈实现,在栈保存了用到的参数:
node和level;
var maxDepth = function (root) {
// dfs
if (!root) return root;
let maxDepth = 0;
const stack = [{ node: root, level: 1 }];
while (stack.length) {
const {node, level} = stack.pop();
maxDepth = Math.max(maxDepth, level);
if (node.children) {
node.children.forEach(item => stack.push({ node: item, level: level + 1 }));
}
}
return maxDepth;
};
222. 完全二叉树的节点个数
- 222. 完全二叉树的节点个数
- 0425,mid,answer
- 方法二利用了题目特点,这种解题思路要学习一下
方法一:dfs
var countNodes = function(root) {
return dfs(root);
function dfs(node){
if (!node) return 0;
return dfs(node.left) + dfs(node.right) + 1;
}
};
// 递归函数dfs:是下面这个版本的简化
function dfs(node){
// 结点不存在,则返回 0
if (!node) return 0;
// 结点存在,返回做左子树和右子树结点总和 + 1
const leftNum = dfs(node.left);
const rightNum = dfs(node.right);
return leftNum + rightNum + 1
}
- 时间复杂度:O(n)
- 空间复杂度:O(log n),算上了递归系统栈占用的空间
方法二:利用完全二叉树特点
var countNodes = function(root) {
// 叶子结点
if (!root) return 0;
// 如果是满二叉树:左子树的左子树的左子树... 和 右子树的右子树的右子树... 深度相等;
let [leftDepth, rightDepth] = [0, 0];
let [leftNode, rightNode] = [root.left, root.right];
while (leftNode) {
leftDepth++;
leftNode = leftNode.left;
}
while (rightNode) {
rightDepth++;
rightNode = rightNode.right;
}
// 满二叉树: node总数 = 2^层数-1
if (leftDepth === rightDepth) return (2 << leftDepth ) - 1
// 不同写法:return (2 ** leftDepth )
// 不是满二叉树:递归求各自子树的node总数
return countNodes(root.left) + countNodes(root.right) + 1
};
计算满二叉树时,用到了位移运算,用
** 2,也可以:3 << 1 // 相当于:3 * 2 ** 1 = 6
3 << 4 // 相当于:3 * 2 ** 4 = 32
2 << 3 // 相当于:2 * 2 ** 3,相当于 2 ** 4,相当于 2^4
// 左移1位就是扩大2倍
// 左移2位就是扩大4倍
110. 平衡二叉树
- 110. 平衡二叉树
- 0425,easy,answer
- 平衡二叉树定义,后序遍历
一棵高度平衡二叉树定义为:
一个二叉树每个节点 的左右两个子树的高度差的绝对值不超过 1
某个结点的:
- 高度:从叶子结点到这个节点的最短路径;
- 深度:从根结点到这个节点的最短路径;
求高度,自底向上的遍历,所以采用后序遍历(左、右、根)
- 参考文章:平衡二叉树.md
var isBalanced = function(root) {
// 递归
return getNodeDepth(root) === -1 ? false : true;
function getNodeDepth(node){
//边界,遍历到边界,返回高度0
if (!node) return 0;
//分别获得左、右子树的高度,如果返回了 -1 表明"子树"不是平衡树,本树也不是,直接返回 -1;
let leftDepth = getNodeDepth(node.left);
if (leftDepth === -1) return -1;
let rightDepth = getNodeDepth(node.right);
if (rightDepth === -1) return -1;
//左右子树都是平衡树,计算它们的高度差,如果 <=1,则返回:更高的子树+1,否则返回 -1
return Math.abs(leftDepth - rightDepth) > 1
? -1
: Math.max(leftDepth, rightDepth) + 1;
}
};
257. 二叉树的所有路径
- 257. 二叉树的所有路径
- 0426,easy,answer
- 先序遍历的迭代/递归
明白什么时候用:
- 先序遍历:在自顶向下的遍历中,需要获得遍历过的每一个结点的信息;
- 如:二叉树的所有路径,二叉树的最大深度等等;
- 后序遍历:在自顶向下的遍历中,获得最后一个结点的信息;
- 如:二叉树的全部叶子结点的高度,判断平衡二叉树等等;

方法一:递归+回溯
- 递归的函数:参数、返回值。
- 参数:本次递归节点、本条路径 path、结果数组 result;
- 递归的返回条件。
- 当递归到一个叶子结点时返回。此时把结果 push 到 result 中。
- 递归 + 回赎
- 递归:当该节点不是叶子结点,存在左、右子树的时候,递归的向下探寻路径;
- 回赎:当遍历到叶子结点,则结束该条路径遍历。向上回溯到父节点,遍历下一个子树的路径。
- 参考文章:二叉树的所以路径.md
var binaryTreePaths = function (root) {
if (!root) return [];
const result = []
traversal(root, '', result)
// 递归
function traversal(node, path, result) {
// 边界:叶子节点,path 写入 result
if (node.left === null && node.right === null) {
respath = (path + '->' + node.val).substr(2)
result.push(respath);
}
//递归+回溯
node.left && traversal(node.left, path + '->' + node.val, result);
node.right && traversal(node.right, path + '->' + node.val, result);
}
return result;
};
substr获得字符串的子串,参数1: 子串开头,参数2: 子串的长度;
方法二:迭代
- 用 stack 代替函数调用栈。
var binaryTreePaths = function (root) {
if (!root) return [];
// 迭代:用 stack 代替函数递归:保存 {node + path}
const stack = [];
const result = []
stack.push({ node: root, path: '' });
// 遍历
while (stack.length) {
const { node, path } = stack.pop();
// 边界:叶子节点,path 写入 result
if (node.left === null && node.right === null) {
respath = (path + '->' + node.val).substr(2);
result.push(respath);
}
//注意调用顺序,因为栈的特性,顺序与递归相反:
node.right && stack.push({ node: node.right, path: path + '->' + node.val });
node.left && stack.push({ node: node.left, path: path + '->' + node.val });
}
return result;
};
100. 相同的树
- 100. 相同的树
- 0426,easy,quick
- 和对称二叉树类似
方式一:递归 dfs
var isSameTree = function(p, q) {
// 递归:先序遍历
return compare(p, q)
function compare(p, q){
// 边界
// 结点都不存在 / 有一个不存在
if (p === null && q === null) return true;
if (p === null || q === null) return false;
// 结点值
if (p.val !== q.val) return false;
// 都是叶子结点
if (p.left === null && p.right === null && q.left === null && q.right === null) return true;
// 递归
const left = compare(p.left, q.left);
const right = compare(p.right, q.right);
return left && right
}
};
// 优化一下:
var isSameTree = function (p, q) {
// 都是叶子结点
if (p === null && q === null) return true;
// 有一个不是叶子结点,有一个是叶子结点
if (p === null || q === null) return false;
// 值不相等
if (p.val !== q.val) return false;
// 递归:判断子树
return isSameTree(p.left, q.left) && isSameTree(p.right, q.right);
};
// 还能优化:
方法二:迭代 bfs
- 也可以使用 dfs 迭代,就是换成了 stack 结构。
- 注意:在对递归进行改造时,要注意增加回溯逻辑:以往的
return true全部改为continue.- 这是因为,
true只判断了当前节点符合了相等逻辑,但其余节点尚未遍历,还不确定是否相等。所以要回溯到父节点,对其他分支进行遍历。
- 这是因为,
- 要把所有的分支都遍历并判断一遍。
continue:本轮循环已经可以确定节点相等,所以不需要(也不能)执行后面的代码了。
- 注意:在对递归进行改造时,要注意增加回溯逻辑:以往的
var isSameTree = function (p, q) {
// 用层序遍历(quene)和先序遍历(stack)迭代也可以
if (!p && !q) return true;
const quene = [{ leftNode: p, rightNode: q }];
while (quene.length) {
const { leftNode, rightNode } = quene.shift();
// 边界
// 结点都不存在 / 有一个不存在
if (leftNode === null && rightNode === null) continue; //注意,不是return true
if (leftNode === null || rightNode === null) return false;
// 结点值
if (leftNode.val !== rightNode.val) return false;
// 都是叶子结点
if (
leftNode.left === null && leftNode.right === null
&& rightNode.left === null && rightNode.right === null
) continue; //注意,不是return true
// 判断下一个结点是否相等
quene.push({ leftNode: leftNode.left, rightNode: rightNode.left })
quene.push({ leftNode: leftNode.right, rightNode: rightNode.right })
}
return true;
};
- 404. 左叶子之和
- 0426,easy,answer
- 左叶子定义需要明白
左叶子的定义:
- 如果左节点不为空,且左节点没有左右孩子,那么这个节点的左节点就是左叶子。
左叶子的判断:
- 如果该节点的左节点不为空,该节点的左节点的
左节点, 右节点均为空,则为一个左叶子。
方法一:递归 dfs
var sumOfLeftLeaves = function(root) {
let res = 0;
if (!root) return res;
dfs(root);
function dfs(node) {
if (!node) return
// 如果该节点的左节点不为空,该节点的左节点的 `左节点, 右节点` 均为空,则为一个左叶子。
if (node.left && !node.left.left && !node.left.right) {
res += node.left.val;
}
node.left && dfs(node.left);
node.right && dfs(node.right);
}
return res
};
方法二:迭代 bfs
- 迭代用 dfs 也可以,用 stack 结构,注意左右子节点 push 的顺序;
var sumOfLeftLeaves = function(root) {
let res = 0;
if (!root) return res;
const quene = [root];
while (quene.length) {
const node = quene.shift();
if (!node) continue;
// 如果该节点的左节点不为空,该节点的左节点的 `左节点, 右节点` 均为空,则为一个左叶子。
if (node.left && !node.left.left && !node.left.right) {
res += node.left.val;
}
node.left && quene.push(node.left);
node.right && quene.push(node.right);
}
return res
};
方法三:迭代 dfs
var sumOfLeftLeaves = function(root) {
let res = 0;
if (!root) return res;
const stack = [root];
while (stack.length) {
const node = stack.pop();
if (!node) continue;
// 如果该节点的左节点不为空,该节点的左节点的 `左节点, 右节点` 均为空,则为一个左叶子。
if (node.left && !node.left.left && !node.left.right) {
res += node.left.val;
}
node.right && stack.push(node.right); // 右:顺序颠倒
node.left && stack.push(node.left); // 左
}
return res
};
513. 找树左下角的值
- 513. 找树左下角的值
- 0426,mid,quick
- 递归 dfs 有点忘记了,见:104. 二叉树的最大深度
⚠️ 注意:if (i === 0) 我写成了 if (i = 0) 看了好久没发现,自己需要注意了,别粗心。
方法一:迭代 bfs
var findBottomLeftValue = function (root) {
// bfs
let res = NaN;
if (!root) return res;
const quene = [root];
while (quene.length) {
const levelLen = quene.length;
for (let i = 0; i < levelLen; i++) {
const node = quene.shift();
if (i === 0) res = node.val; // 判断中我写成了 `1 = 0`
node.left && quene.push(node.left);
node.right && quene.push(node.right);
}
}
return res;
};
方法二:递归 dfs
- 找深度最深的子节点、前序遍历(确保是最左边的)
var findBottomLeftValue = function (root) {
// dfs 深度
if (!root) return 0;
let resLevel = 0;
let res = null;
dfs(root, 1);
function dfs(node, level) {
// 叶子结点判断深度:
if (!node.left && !node.right) {
if (level > resLevel) {
resLevel = level
res = node.val;
}
}
node.left && dfs(node.left, level + 1);
node.right && dfs(node.right, level + 1);
}
return res;
};
112. 路径总和
- 112. 路径总和
- 0427,easy,quick
方式一:dfs 递归
- 涉及到回溯和及时返回,一旦找到满足条件的路径,就停止继续遍历,直接返回。
- 所以对递归要 有返回值。
var hasPathSum = function (root, targetSum) {
if (!root) return false;
// dfs,先序
return dfs(root, 0);
function dfs(node, lastSum) {
const curSum = lastSum + node.val;
// 叶子结点判断
if (!node.left && !node.right) {
return curSum === targetSum ? true : false;
}
if (node.left && dfs(node.left, curSum)) return true;
if (node.right && dfs(node.right, curSum)) return true;
return false;
}
};
方式二:dfs 迭代
- 主要涉及到两个更改:
- 栈中保存:递归的两个参数;
- 递归的返回值,
true不变继续返回,false调整为continue
var hasPathSum = function (root, targetSum) {
if (!root) return false;
// dfs,先序
const stack = [{ node: root, count: 0 }];
while (stack.length) {
const { node, count } = stack.pop();
const curSum = count + node.val;
// 叶子结点
if (!node.left && !node.right) {
if (curSum === targetSum) return true
continue;
}
node.right && stack.push({ node: node.right, count: curSum });
node.left && stack.push({ node: node.left, count: curSum });
}
return false;
};
113. 路径总和 II
- 113. 路径总和 II
- 0427,mid,quick
方式一:dfs 递归
var pathSum = function (root, targetSum) {
const res = [];
if (!root) return res;
// dfs
dfs(root, 0, [])
function dfs(node, count, path) {
const curSum = count + node.val;
const curPath = [...path];
curPath.push(node.val);
// 叶子结点
if (!node.left && !node.right) {
if (targetSum === curSum) res.push(curPath);
return
}
node.left && dfs(node.left, curSum, curPath);
node.right && dfs(node.right, curSum, curPath);
}
return res;
};
// 显式回溯,少一个 ...path 的复制操作,提升速度
var pathSum = function (root, targetSum) {
const res = [];
if (!root) return res;
// dfs
dfs(root, 0, []);
return res;
function dfs(node, count, path) {
const curSum = count + node.val;
path.push(node.val);
// 叶子结点
if (!node.left && !node.right) {
if (targetSum === curSum) res.push([...path]);
}
node.left && dfs(node.left, curSum, path);
node.right && dfs(node.right, curSum, path);
path.pop(); // ❗️回溯
}
};
方式二:bfs 迭代
回溯的解决方式,是把当前节点状态都在 quene 中保存:
- 当前节点的路径总数值:count;
- 当前节点的路径:path。注意 path 在保存时要浅拷贝一份。
var pathSum = function (root, targetSum) {
const res = [];
if (!root) return res;
// bfs
const quene = [{ node: root, count: 0, path: [] }];
while (quene.length) {
const { node, count, path } = quene.shift();
const curCount = count + node.val;
const curPath = [...path];
curPath.push(node.val);
// 叶子结点:
if (!node.left && !node.right) {
if (targetSum === curCount) res.push(curPath);
}
node.left && quene.push({ node: node.left, count: curCount, path: curPath });
node.right && quene.push({ node: node.right, count: curCount, path: curPath });
}
return res;
};
方法三:dfs 迭代 + map 优化内存
用map存储节约内存
- key为当前节点,value为父节点,
- 需要在定义后初始化放入
map.set(root, null) - 当找到符合条件的根节点后,可通过 while 循环向上查找,即可找到完整的路径。
var pathSum = function (root, targetSum) {
if (!root) return [];
// dfs 迭代
const res = [];
const stack = [{ node: root, curSum: targetSum }];
// 用map存储节约内存,key为当前节点,value为父节点,通过while循环向上查找,即可找到完整的路径。
const map = new Map();
// 初始化父节点指向null
map.set(root, null);
while (stack.length) {
let { node, curSum } = stack.pop();
curSum -= node.val;
if (!node.left && !node.right && curSum === 0) {
res.push(getPath(node));
}
if (node.right) {
map.set(node.right, node);
stack.push({ node: node.right, curSum });
}
if (node.left) {
map.set(node.left, node);
stack.push({ node: node.left, curSum });
}
}
// while向上查找完整路径
function getPath(node) {
const res = [];
while (node !== null) {
res.unshift(node.val);
node = map.get(node);
}
return res;
}
return res;
};
437. 路径总和 III
面试题 04.12. 求和路径
- 437. 路径总和 III
- 面试题 04.12. 求和路径
- 0427,0428,mid,hard answer
- 深度优先,求和
思路:
- 遍历每一个节点,然后记录从 root 到这个节点遍历过的所有值,用 path 记录。
- 每当遍历到一个新节点,就从这个节点为底,自下而上(从后往前)的读取 path 中的值,不断累加,找到所有累加值 ===
sum的情况,每找到一个就让结果res+ 1;
- 每当遍历到一个新节点,就从这个节点为底,自下而上(从后往前)的读取 path 中的值,不断累加,找到所有累加值 ===
- 两个重点:
- 求和路径中,有负值的节点、不一定是从根结点开始,不一定是从叶子结点开始的。
- 遍历是从上往下,而每遍历一个节点,是从下往上计算的。相当于把叶子结点当成了一个端点。
- 一个路径上可能有多个满足累加和 === sum 的情况,需要全部考虑在内。
方法一:自底向上求和(自己的方法)
var pathSum = function (root, targetSum) {
let res = 0;
if (!root) return res;
dfs(root, []);
return res;
function dfs(node, path) {
// 加一个子节点,计算当前的 path 值
const curPath = [...path, node.val];
let curSum = 0;
// 从最后一个节点往前倒着遍历,计算满足的情况
for (let i = curPath.length - 1; i >= 0; i--) {
curSum += curPath[i];
// 如果当前 path sum 相等,方法加1
if (curSum === targetSum) res += 1;
}
node.left && dfs(node.left, curPath);
node.right && dfs(node.right, curPath);
}
};
时间复杂度:for 循环一个,递归一个:O(n^2);
空间复杂度:维护数组 path,O(n^2);
方法二:自顶向下求和

- 自底向上的缺点是每个节点都维护了一个 path 数组。
- 而把 sum 每次见去 val,省去了维护 path,而仅仅需要维护一个数字。
- 递归逻辑:
- 假设 root 到 A 结点的路径和为 targetSum,那么自然 root 下一个子结点到 A 结点的路径和为 targetSum - 1。
// dfs
// 以 root 为根结点,递归遍历二叉树的每个节点,对节点求rootSum,然后将每个节点所有求的值进行相加求和返回。
var pathSum = function (root, targetSum) {
if (!root) return 0;
let ret = rootSum(root, targetSum);
ret += pathSum(root.left, targetSum);
ret += pathSum(root.right, targetSum);
return ret;
};
// dfs,
// 以 root 为根结点,向下遍历所有路径,返回满足路径和为 targetSum 的总数
const rootSum = (root, targetSum) => {
let ret = 0;
if (root.val === targetSum) ret++;
// 递归逻辑:
// 假设root到A结点的路径和为targetSum,那么自然root下一个子结点到A结点的路径和为 targetSum - 1,
ret += root.left ? rootSum(root.left, targetSum - root.val) : 0;
ret += root.right ? rootSum(root.right, targetSum - root.val) : 0;
return ret;
}
pathSum是递归二叉树的所有结点,让每个节点都调用一次rootSum,然后累加rootSum的返回值;rootSum是以root为根结点,递归所有路径,求路径和满足 sum 的总数。
综上,时间复杂度:O(n^2);空间复杂度:O(n),递归需要在栈上开辟空间。
方法三:前缀和
思考,为什么别人的解析看不懂?
- 自己没有去一步步落实,不能光看,要边看边画图,边手算。根据解析自己找一找规律,画出一个树状图。后面看懂了就是因为有一个解析它画了图,一目了然。
思考,方法一中哪些地方需要改进?
主要是每次 dfs 都保存了一个完整的路径 path,在计算路径和是否相等时,会用 for 循环计算一次,想办法把重复计算的 for 循环变成 O(1) 的复杂度。
解决:用一个 Map 记录每一次 dfs 时,计算的结果,这样结果就可以重复利用。
利用了前缀和的概念:

在 dfs 遍历每一个节点的时候,把节点到 root 的路径和做一个记录,用 Map 结构。
当 targetSum 为 6 时,可以看到左下角叶子结点 21 到它的祖父节点 15 的差,正好是 21 - 15 = 6,即找到了一个满足的路径。
所以,我们在用 Map 结构作记录时,仅保存路径上存在的路径和(key),和存在的次数(value)即可。然后当我们遍历到一个新节点,就用
TargetSum - 新节点路径和在 Map 中查找。得到的 value 就是这新节点满足条件的路径总数。需要注意:
- 最开始先放入根结点
(0, 1)到 Map 中; - 及时回溯,从 Map 中删除不要的数据;
- 最开始先放入根结点
var pathSum = function (root, targetSum) {
let res = 0;
if (root == null) return res;
// 记录路径中某个前缀和出现的次数
const count = new Map();
// 防止包含根节点的时候找不到
count.set(0, 1);
dfs(root, 0);
return res;
// dfs:当前节点,map结构,上一次前缀和,目标总数
function dfs(node, curSum) {
if (!node) return null;
// 判断是否存在符合条件的前缀和
curSum += node.val;
res += count.get(curSum - targetSum) || 0;
// 将当前前缀和记录下来
count.set(curSum, (count.get(curSum) || 0) + 1);
// 继续往下递归
dfs(node.left, curSum);
dfs(node.right, curSum);
// 回溯,恢复状态
count.set(curSum, count.get(curSum) - 1);
}
}
70. 爬楼梯
- 70. 爬楼梯
- 0428,easy,answer
- 动态规划,不能用dfs
方法一:[动态规划] 正解
dp[n] == dp[n-1] + dp[n-2];
var climbStairs = function (n) {
if (n < 3) return n;
//
const dp = [];
dp[1] = 1;
dp[2] = 2;
for (let i = 3; i <= n; i++) {
dp[i] = dp[i - 1] + dp[i - 2];
}
return dp[n];
};
- 时间复杂度:循环执行 n 次,时间复杂度为 O(n)。
- 空间复杂度:用一个长度为 n 的数组维护,空间复杂度为 O(n)。
方法二:优化-动态规划
转换公式中得出结论:第 n 个值只受 n-1 和 n-2 值的影响。所以没有必要维护一整个数组,只需要维护最后两个数即可。
var climbStairs = function (n) {
if (n < 3) return n;
// dp[n] == dp[n-1] + dp[n-2];
let dp1 = 1;
let dp2 = 2;
for (let i = 3; i <= n; i++) {
// dp[i] = dp[i - 1] + dp[i - 2];
const temp = dp2;
dp2 = dp2 + dp1;
dp1 = temp;
}
return dp2;
};
- 时间复杂度:循环执行 n 次,时间复杂度为 O(n)。
- 空间复杂度:用 2 个数维护,空间复杂度为 O(1)。
方法三:[dfs] 超时
var climbStairs = function (n) {
let res = 0;
if (n === 0) return res;
dfs(n);
return res;
// dfs:每次可以选择 1, 2
function dfs(n) {
if (n - 2 > 0) {
dfs(n - 2);
} else {
if (n - 2 === 0) res += 1;
}
if (n - 1 > 0) {
dfs(n - 1);
} else {
if (n - 1 === 0) res += 1;
}
}
};
- 时间复杂度:递归每一个节点,当传入数值为 n 时,递归执行了 n 次,时间复杂度为 O(n)。
- 但是递归时分为 1 和 2 两个情况,虽然不是 O(n^2),但是也比动态规划多。
- 这里只用了常数个变量作为辅助空间,故渐进空间复杂度为 O(1)。
988. 从叶结点开始的最小字符串
- 988. 从叶结点开始的最小字符串
- 0428,mid,quick
- dfs 的使用
方法一:dfs
- 注意审题:
- 最终的值是一个字符串,但节点值是数字,需要转换:
String.fromCharCode(97 + node.val)公式。 - 最终的值是倒序的,也就是说叶子结点在开头,根结点在结尾。
- 最终的值是一个字符串,但节点值是数字,需要转换:
var smallestFromLeaf = function (root) {
// 只返回一个即可
// 返回一个从root到叶子的路径,要求值最小。
// dfs
let res = Infinity;
if (!root) return '';
dfs(root, '');
return res;
function dfs(node, lastVal) {
// String.fromCharCode(64 + 1); --> A
const valNumber = String.fromCharCode(97 + node.val);
const val = '' + valNumber + lastVal;
// 到达叶子节点,返回值
if (!node.left && !node.right) {
if (res === Infinity) res = val;
res = res > val ? val : res;
return;
}
node.left && dfs(node.left, val);
node.right && dfs(node.right, val);
}
};
数字向字母的转化:
const valNumber = String.fromCharCode(97 + node.val);
543. 二叉树的直径
- 543. 二叉树的直径
- 0428,easy,answer
- dfs
我一直在求从 root 到某个节点的最大深度,而不是从 “某个节点” 到叶子结点的最大深度。
- 所以要明确返回值,明确始端和末端的值。
为什么当时没想到?
- 没思路时,从末端开始倒退,当节点为 null,深度就是 0;当节点为叶子结点,深度就是1;
- 按照递归思路考虑问题:
- 递归的入参和返回值:
- 入参:
node。 - 出参:
node为基的最大深度。 - 递归结束:当
node不存在时,此时深度为 0;(叶子结点深度为 1)
- 入参:
- 递归内容:
- 求分别递归求左子树和右子树的最大深度 maxDepth,然后本节点的最大深度就是
maxDepth + 1这也是返回值。
- 求分别递归求左子树和右子树的最大深度 maxDepth,然后本节点的最大深度就是
- 递归的入参和返回值:
- 明确两个问题:
- 求 node 结点为基的最长直径 === node.left 最大深度 + node.right 最大深度
- 求 node 结点为基的最大深度 === Math.max( node.left 最大深度, node.right 最大深度 )
var diameterOfBinaryTree = function (root) {
if (!root) return 0;
let max = 0;
dfs(root);
return max;
// 求 node 的最大深度。
function dfs(node) {
if (!node) return 0;
const left = dfs(node.left);
const right = dfs(node.right);
// 求 node 节点的直径 = node.left最大深度 + node.right最大深度
// 比较并保存最大直径
max = Math.max(max, left + right);
// 返回:node 节点的最大深度 = node 子节点的最大深度 + 1;
return Math.max(left + right) + 1;
}
};
687. 最长同值路径
- 687. 最长同值路径
- 0428,mid,answer
- 区分:最长路径 和 深度的概念
最长路径:
- 只有一个节点时,最长路径 0,相同值 1
- node有 2 个结点时,最长路径 = node.left + node.right,
相同值:
- 在判定最长路径时,要先设定 左右子树的最长路径为 0。只有 node.val 与 node.left.val 相等,最长路径才是
dfs(node.left),右子树同理;
var longestUnivaluePath = function (root) {
if (!root) return 0;
// 相同值的最长路径
let max = 0;
dfs(root);
return max;
// dfs返回值:node的最大深度
function dfs(node) {
if (!node) return 0;
// 左子树和右子树的最大深度
const left = dfs(node.left);
const right = dfs(node.right);
// 左子树和node值相同,才记录最大深度,否则左子树深度为0. 右子树同理
let leftLength = 0;
let rightLength = 0;
if (node.left && node.val === node.left.val) {
leftLength = left;
}
if (node.right && node.val === node.right.val) {
rightLength = right;
}
// 相同值最长路径:
max = Math.max(max, leftLength + rightLength);
// node(相同值)的最大深度
return Math.max(leftLength, rightLength) + 1;
}
};
124. 二叉树中的最大路径和
- 124. 二叉树中的最大路径和
- 0428,hard,answer
- 本质上是 988、543 一脉相承的,但有了更好的题解思路:
树问题的本质:
- 所有树的题目,都想成一颗只有根、左节点、右节点 的小树。然后一颗颗小树构成整棵大树,所以只需要考虑这颗小树即可。
- 接下来分情况, 按照题意:一颗三个节点的小树的结果只可能有如下6种情况,然后一一去分析:
- 根 + 左 + 右
- 根 + 左
- 根 + 右
- 根
- 左
- 右
解题思路
二叉树 abc,a 是根结点(递归中的 root),bc、 是左、右子结点(代表其递归后的最优解)。
a
/ \
b c
最大的路径,可能的路径情况:
- b + a + c,以 a 结点为基的最大路径。
- b + a + a 的父结点。以 a 的某一个父节点为最大路径,b + a 只是它其中一个分支的一小段;
- c + a + a 的父结点。以 a 的某一个父节点为最大路径,c + a 只是它其中一个分支的一小段;
情况一:在我们每次遍历一个 node 时,通过 Math.max() 比较计算;
情况二、三:在我们遍历完 node 时提供的返回值,给 a 的父节点做参考。
负值的情况:
- 在计算 b 和 c 时,如果遇到结果为负数,那直接舍弃,分支的结果为 0;
和 988、543 不同的是,这里是求的不再是层数和深度,而是值的总和,所以返回值应当是 + node.val。
var maxPathSum = function(root) {
if (!root) return 0
let max = -Infinity;
dfs(root);
return max;
// 返回 node 节点大单边最大路径和,即Math.max(root, root+left, root+right)
function dfs(node){
if (!node) return 0;
//计算左边分支最大值,左边分支如果为负数还不如不选择
const left = Math.max(0, dfs(node.left));
//计算右边分支最大值,右边分支如果为负数还不如不选择
const right = Math.max(0, dfs(node.right));
// 情况一:left + root + right 作为路径与已经计算过历史最大值做比较
max = Math.max(max, left + right + node.val);
// 情况二、三:返回经过root的单边最大分支给当前root的父节点计算使用
return Math.max(left, right) + node.val;
}
};
654. 最大二叉树
0429,mid,quick
思路和 105. 106. 相似,可以一起复习
优化点:找最大值是 O(n) 的复杂度,二分法可以优化为 O(logn)。
时间复杂度:最大值+递归 == 时间复杂度:O(n^2),可以优化为 O(nlogn)。
var constructMaximumBinaryTree = function (nums) {
if (!nums) return null;
return build(0, nums.length - 1);
// 返回:构建好的子树
function build(start, end) {
// 边界
if (start > end) return null;
// 找最大值和下标
let maxIndex = start;
let maxVal = nums[start];
for (let i = start; i <= end; i++) {
if (nums[i] > maxVal) {
maxVal = nums[i];
maxIndex = i;
}
}
// 创建节点
const root = new TreeNode();
root.val = maxVal;
// 分割
root.left = build(start, maxIndex - 1);
root.right = build(maxIndex + 1, end);
return root;
}
};
617. 合并二叉树
- 617. 合并二叉树
- 0429,easy,answer
- dfs 方法较为好理解,bfs 可以暂时不看了
方法一:dfs
var mergeTrees = function (root1, root2) {
return dfs(root1, root2);
function dfs(node1, node2) {
// 返回,如果两个数都不存在这个节点,则返回 null
if (!node1 && !node2) return null
// 有一个不存在,则不用再判断相加,直接吧另一个存在的子树附到node即可。
if (!node1) return node2;
if (!node2) return node1;
// 新建节点
const node = new TreeNode();
node.val = node1.val + node2.val;
node.left = dfs(node1.left, node2.left);
node.right = dfs(node1.right, node2.right);
return node;
}
};
// 优化:
var mergeTrees = function (root1, root2) {
// 返回,如果两个数都不存在这个节点,则返回 null
if (!root1 && !root2) return null
// 有一个不存在,则不用再判断相加,直接吧另一个存在的子树附到node即可。
if (!root1) return root2;
if (!root2) return root1;
// 新建节点
const node = new TreeNode(root1.val + root2.val);
node.left = mergeTrees(root1.left, root2.left);
node.right = mergeTrees(root1.right, root2.right);
return node;
};
- 时间 / 空间复杂度:O(min(m,n)),主要取决于节点数更少的那个二叉树。
方法二:bfs
- 不好理解,复习时暂时忽略吧;
- 时间复杂度、空间复杂度和 dfs 相同。
var mergeTrees = function (root1, root2) {
// 边界
if (root1 === null) return root2;
if (root2 === null) return root1;
const root = new TreeNode(root1.val + root2.val);
const queue = [[root, root1, root2]];
// bfs
// 与传统思维不同,在每次push node的时候,已经处理了node.val,需要处理的是 node.left 和 node.right
while (queue.length) {
const [node, node1, node2] = queue.shift();
// 左子树
if (node1.left || node2.left) {
if (node1.left && node2.left) {
node.left = new TreeNode(node1.left.val + node2.left.val);
queue.push([node.left, node1.left, node2.left]);
} else {
node.left = node1.left || node2.left;
}
}
// 右子树
if (node1.right || node2.right) {
if (node1.right && node2.right) {
node.right = new TreeNode(node1.right.val + node2.right.val);
queue.push([node.right, node1.right, node2.right]);
} else {
node.right = node1.right || node2.right;
}
}
}
return root;
}